澳门金沙娱乐城官网-金沙官网_百家乐网站_全讯网址

教學周

門戶系統 學生 教師 校友 考生 VPN 郵箱 圖書館 EN

南大新聞

首頁 / 南大新聞 / 正文

化學學院蔡琥團隊再次發表JACS論文

作者:化學學院時間:2020-01-09
攝影 化學學院 單位 化學學院
  

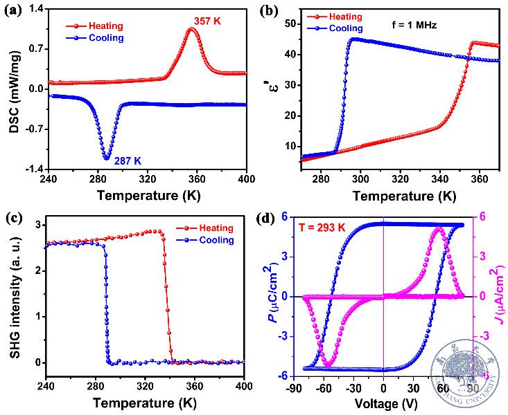
本網訊(化學學院)在國際著名分子鐵電科學家熊仁根教授提出的“似球-非球”理論的指導下,近日,蔡琥團隊成功設計合成出了一例類陶瓷的分子鐵電體[3,2,1-dabco]BF4。在室溫下,該分子鐵電體表現出優異的鐵電性能和分子成膜性能。相關研究結果以“Rational Design of Ceramic-Like Molecular Ferroelectric by Quasi-Spherical Theory”為題,在化學領域頂級期刊《美國化學會志》(Journal of the American Chemical Society)發表。該論文的第一作者為魏振宏博士,第一完成單位和通訊作者單位均為南昌大學。這是繼2018年在JACS上報道第一例反鈣鈦礦分子鐵電體后,蔡琥團隊又一次在分子鐵電領域取得重要研究進展。

圖1.(a)類陶瓷分子鐵電體[3.2.1-dabco]BF4的合成策略示意圖, (b)分子[3.2.1-dabco]BF4立方對稱結構圖。

目前,無機陶瓷鐵電體(例如:PZT、SBT、BTO)因其成膜成本高、制備需要高溫燒結、含有潛在毒性元素等缺點,限制了其在柔性可穿戴器件的應用。與之相比,分子鐵電材料因其易于加工、對環境友好、重量輕、低聲阻抗和機械柔性而受到了研究人員的廣泛關注,它可作為常規陶瓷鐵電材料的可行替代品或有益補充。然而,由塑性相變誘發鐵電的多晶型陶瓷分子鐵電體的報道屈指可數,并且絕大部分分子鐵電體呈現單軸的鐵電性能,極大地限制了其在實際應用中的潛力。

圖2[3,2,1-dabco]BF4鐵電性能的測試表征

該研究團隊在本工作中運用“似球-非球”理論,通過化學設計的方法合成了一種在357 K上具有m3mFmm2型鐵電相變的陶瓷分子鐵電體,1,5-二氮雜二環[3.2.1]辛烷四氟化硼([3.2.1-dabco]BF4)。其可在室溫下以多晶薄膜形式顯示出色的鐵電性能。基于已報道的4/mmmFmm2型分子鐵電[2.2.2-dabco]BF4,運用化學設計的方法將[2.2.2-dabco]+陽離子改為其同分異構體[3.2.1-dabco]+,一定程度上降低了分子的對稱性并保持了準球形分子構型,從而使其極軸從2重軸提升到了6重軸,自發極化強度Ps從4.9 μC·cm-2增大到了5.5μC·cm-2。

值得一提的是,該設計思路成功地將鐵電相變從四方晶系到正交晶系的轉變擴大到從立方晶系到正交晶系的轉變。鐵電相變中極大的對稱性破缺有利于增大鐵電相到順電相的熵值,該發現將為降低制冷領域能源損耗提供一種新的途徑,是分子鐵電在固體制冷領域的新的突破。這一工作也為類陶瓷分子鐵電體的合成提供了全新的設計思路,極大地提高了其在可穿戴設備、柔性材料、生物機械等領域的應用潛力。

論文鏈接:https://pubs.acs.org/doi/10.1021/jacs.9b11665


編    輯:涂金鳳

責任編輯:許  航

皇冠即时走地| 百家乐官网另类投注法| 二八杠分析仪| 最新百家乐官网网评测排名| 威尼斯人娱乐代理注册| 百家乐官网8点| 威尼斯人娱乐城官方网站| 百家乐官网赌场策略论坛| 金樽百家乐的玩法技巧和规则| 皇冠网全讯通| 百家乐看炉子的方法| 百家乐技巧辅助软件| 百家乐官网实战案例| 康莱德百家乐官网的玩法技巧和规则 | 大发888娱乐场下载最高| 24山分别指什么| 百家乐官网正确的打法| 新葡京百家乐的玩法技巧和规则 | 大发888客户端| 游戏百家乐押发| 百家乐官网破解之法| 百家乐画面方法| 真人百家乐888| 百家乐官网2号程序| 贵族国际娱乐城| 瑞士百家乐的玩法技巧和规则| 赌场百家乐官网的玩法技巧和规则| 曲阳县| 元游棋牌游戏| 榆次百家乐的玩法技巧和规则| 致胜百家乐官网软件| 澳门足球| 大发888真钱娱乐城| 百家乐官网赌场论坛在线| 邓州市| 太阳城百家乐公司| 做生意的门的方向| 尊龙百家乐官网赌场娱乐网规则 | 百家乐可以作假吗| 网上百家乐分析软件| 澳门百家乐官网怎么才能赢钱|